Time Travel Research Center © 1998 Cetin BAL - GSM:+90  05366063183 -Turkey/Denizli 

Quantum Teleportation

Teleportation has long been a cornerstone of countless science-fiction novels, movies and television series. The most notable example is the television classic Star Trek, where transporters are commonplace. The scientific reality of teleportation, however, is a long way off. Until recently it had been considered an impossibility, but with the advent of Quantum Teleportation this is starting to change, though slowly.

Quantum Teleportation Theory

Quantum teleportation was first conceived by an international group of researchers in 1993. They made use of one of the more unusual aspects of Quantum Mechanics, Einstein-Podolsky-Rosen correlation, more commonly known as entanglement. Albert Einstein himself was quoted as describing this effect as "spooky" because of it's very nature: altering one particle of an entangled
pair causes the other to be affected a highly correlated way without any communication between the two.

To demonstrate how Quantum Teleportation works, we will need an observer "Alice", to which we give a particle, and another observer "Bob" to to make a copy of the particle. This is the naming convention used in the original paper done by the group, so it's good enough for our purposes.

We begin with a particle in an unknown state. If the solution were as trivial as measuring the quantum state of the particle, teleportation would be simple. However, the Heisenberg Uncertainty principal dictates that we cannot acurately measure a particle's exact state without effecting a change in that state. This rules out that solution.

An alternative to finding out the full state of the particle is to merely cause it to interact with a particle in a known state. We can send this particle to Bob where the process is reversed, producing a replica of the original particle. This method still places classical and non-classical information in the same transmission, which is not quite teleportation. The goal is to separate the state
of the particle into classical and non-classical information at Alice, then send the two through separate channels to be reassembled at Bob.

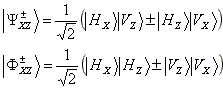
To begin the teleportation, two entagled particles, X and Y, and created in orthogonal states:

We are using 'H' and 'V' to indicate horizontal and vertical, othogonal states to eachother. One particle is passed on to Alice, while the other is passed on to Bob. The particle to be teleported, Z, begins in some state:

It is passed on to Alice. Now, particles Z and X are at Alice and Y at Bob, but have not interacted yet. Taking the two particles Z and X, Alice does a complete measurement of the von Neumann type, causing Z to become entangled with X: After this measurement is performed, there exist multiple states all with equal probability of occurance:

                                                             

The result of this measurement is classical information which Alice sends to Bob. After Alice made her measurement, particle Y has been transformed at Bob into a qunatum state identical to the original state of Z. The system in full is now:

The non-classical information has effectively been teleported - passed through space with no information being sent. Alice transmits the classical information to Bob, where the particle Y is adjusted appropriately and takes on the exact original quantum state of Z. The state of Z is now gibberish, with no trace of the original state left. Thus, teleportation has been achieved, a particle being destroyed at one location and recreated at another.

  ----  IBM Research Labs page on Quantum Teleportation
  ----  Teleporting an Unknown Quantum State via Dual Classical and Einstein-Podolsky-Rosen Channels
         * Figure 1
         *Figure 2

The people behind the theory

The team that developed this process involved six scientists from institutions around the world. Charles Bennett from IBM's T.J. Watson Research Center in New York, Gilles Brassard at the University of Montreal, Claude Crépeau at the Laboratoire d'Informatique de l'École Normale Supérieure in Paris, France, Richard Jozsa of the University of Montreal in Quebec, Asher
Peres of the Israel Institute of Technology in Haifa, Israel, and William K. Wootters of Williams College, Massachusetts. They put together an eight page paper outlining the theory, which isn't overly complex.

Charles Bennett's main area of research lies in many technology-related areas of quantum mechanics. His work includes quantum communication, data compression, computing, and has co-authored a number of papers on quantum cryptography.

Gilles Brassard's main area of interest is in cryptography, more specifically quantum cryptography. He and Bennett were the initial developers of the theories behind Quantum Crpytography and continued to work together on other aspects of the subject. They have published a number of papers together.

Claude Crépeau's areas of interest include Quantum cryptography and computing, and coding theory and cryptography in general. He published many papers with Brassard and Bennett taking a more detailed look on the finer points of Quantum cryptography.

Richard Jozsa's work has involved Quantum Computing and Quantum Optics. He has published extensively about Quantum computing and optimizing algorithms for Quantum computers.

Asher Peres's research lies in theoretical physics, though no more detailed information is available on his work. William Wootters' areas of interest lie in quantum systems and cryptography. He has published with Brassard and Bennett multiple times.

The Innsbruck Experiment

The first experimental confirmation of Quantum Teleportation took place at the University of Innsbruck in 1997. They performed their experiment, testing only the teleporting of a photon while preserving the polarization state. The experiment begins by firing a pulse of Ultraviolet light at a Non-linear crystal to create a pair of entangled photons, X and Y. This pair of photons is also created to be in othoganol states of polarization. Another pair of photons, Z and d, is reflected
back through the crystal. The photon d is used only to trigger the detectors, indicating the experiment has begun. Photon Z is the photon we will be teleporting. It is prepared in a known polarization state with a polarizer.

Particles X and Z are directed toward the sending observer, Alice. There, they are incident upon a beam splitter, which causes X and Z to become entangled themselves. The quantum state of Z turns to gibberish, but X obtains the quantum state opposite of what Z had. The detectors that receive each particle after they pass throught the beam splitter determine the classical state of the particle Z and transmits the information to Bob.

Particle as particles X and Z interacted, particle Y took on a state opposite that of X, which is opposite of Z, so Y has an identical state to Z. A beam splitter at Bob sends the photon to the correct detector where the classical information is processed and Y becomes an exact replica of Z.

     Experiment web site
     Article in Physics News
     Article in Scientific American
     Graphics on the Experiment

The People behind the Innsbruck Experiment

This project was headed up by Dr. Anton Zeilinger of the Insitute for Experimental Physics at the University of Innsbruck. His work lies in the areas of quantum optics and quantum communication, and is more concentrated on devising experiments than development of theory.

The other experimenters from the Institute for Experimental Physics are: Dik Bouwmeester, Jian-Wei Pan, Klaus Mattle, Manfred Eibl and Harald Weinfurter. They are all published and have collaborated with eachother and Dr. Zeilinger before.

The Caltech Experiment

The Caltech experiment took place in the fall of 1998. It took the Innsbruck experiment and achieved even more accurate results by adding a third detector to the experiment apparatus, Victor. Victor has a dual-role in the experiment, creating and sending the particle to be teleported to Alice and receiving and verifying the particle from Bob. This third detector allows for more accuracy in reproducing the input particle and gives even stronger support for the validity of quantum teleportation.

Future Applications

Quantum communication is centered on the ability to send data over large distances quickly. This data transmission occurs as quickly as the particles can move (the speed of light) and shows no data loss since the quantum state of the transmitted particle is not set until the sender interacts it's entangled particle with the particle to be sent. The result is that one can fire entangled
particles at the sender and receiver and not worry about sending the information until the transmission media (the particles) are already there. At the receiving end, the entangled particle takes on the state of the sent particle and is interpreted appropriately.

Quantum cryptography is an extension of quantum communication in that it sends particles using quantum teleportation. Particles are enconded in quantum states and are sent to the receiver as in quantum communication. The states represent encoded information that can only be processed and understood by the receiving end. If another observer attempts to look at the information sent, he must know the encoding scheme, because the transmission is destroyed once observed.

Quantum computing relies on quantum teleportation for creating quantum logic gates that process information within a quantum computer. Quantum computing also introduces the notion of qubits, the quantum analog to the classical bit. The difference lies in that a qubit can be either 0 or 1 simultaneously. This allows massive parallel computations to be performed in seconds that
would take today's computers millions upon billions of years.

Conclusion

Quantum teleportation has opened many doors for future advancement in science and technology. As we learn more and more about the true nature of the universe, more applications and effects of physical phenomena can be used newer, more exciting
ways.

For more information
 http://quantumteleport.cjb.net/

Hiçbir yazı/ resim  izinsiz olarak kullanılamaz!!  Telif hakları uyarınca bu bir suçtur..! Tüm hakları Çetin BAL' a aittir. Kaynak gösterilmek şartıyla  siteden alıntı yapılabilir.

 © 1998 Cetin BAL - GSM:+90  05366063183 -Turkiye/Denizli 

[ Ana Sayfa (Home) UFO Technology UFO's GalleriKuantum Fiziği Roket bilimi   | 
                                            [ 
Astronomy E-Mail   |  Index