Zaman Yolculuğunu Araştırma Merkezi © 1998 Cetin BAL - GSM:+90  05366063183 -Turkey/Denizli 

 

                              ANKARA ÜNİVERSİTESİ FEN FAKÜLTESİ

                      ASTRONOMİ VE UZAY BİLİMLERİ BÖLÜMÜ

 

 

                                                                               A 448 ÖZEL KONU

 

 

                                                                                     ROKETLER

 

                                                                                   Nermin SAYDAM

                                                                                            97050014

                                                                           Danışman: Dr. Birol GÜROL

                                                                                            2000-2001

                                                                                     BAHAR DÖNEMİ

 

 

                                             İÇİNDEKİLER

 

 ÖNSÖZ

 

1. ÖZET .......................................................................................................1

2. GİRİŞ .......................................................................................................2

3. TARİHÇE ................................................................................................3

4. ROKETLERİN TEMELİ

4.1. Kütle.......................................................................................................4

4.2. Momentumun Korunumu ........................................................................4

4.3. Rokette İtme...........................................................................................5

4.4. Belirli İtici Kuvvet ...................................................................................7

4.5. Roket Eşitliği............................................................................................8

4.6. Sabit İvmeli Roket .................................................................................10

4.7. Aerodinamik Sürüklenme .......................................................................11

4.8. Roket Verimliliği ....................................................................................11

4.9. Bir Roket Jetinin Güç Dağılımı ...............................................................12

4.10. Yakıt Kütlesinin Seçimi........................................................................13

4.11. Radyoaktif Geri Tepme İtici Kuvveti ....................................................14

4.12. Kademeli Roketler ..............................................................................14

4.13. Radyasyon Basıncı Tarafından Meydana Gelen İtici Kuvvet ..................16

5. ROKET YAKITLARI ve MOTORLARI

5.1. Katı Yakıtlar ve Sıvı Yakıtlar .................................................................19

5.2. Motor İtme Kontrolü.............................................................................21

 

 

5.3. Kararlılık ve Kontrol Sistemleri.............................................................21

5.4. Katı Yakıtlı Roketler.............................................................................22

5.5 Sıvı Yakıt Roketleri Nasıl Çalışır? ..........................................................23

5.6. Kullanılan Bazı Motorlar .......................................................................25

Çizelge-5.1. Sıvı Motorlar...........................................................................27

Çizelge-5.2. Rus Motorları...........................................................................28

Çizelge-5.3. Çin Motorları ...........................................................................29

6. BAZI ROKET TİPLERİ ve ÖZELLİKLERİ............................................30

6.1. Birleşik Devletler Roketleri ..................................................................30

6.2. Rus Roketleri........................................................................................31

Çizelge-6.1. Birleşik Devletler ve Avrupa Roketleri......................................32

Çizelge-6.2. Rus Roketleri ...........................................................................35

7. ÖZEL BİR ROKET: SES ROKETİ ........................................................36

8. R0KETLERDEN HABERLER...............................................................37

9. SONUÇ..................................................................................................38

10. KAYNAKLAR ....................................................................................39

 

 

ÖNSÖZ

 

Özel Konu raporunun hazırlanmasındaki yardımlarından dolayı aileme ve hocam Sayın Dr. Birol Gürol’a teşekkür ederim.

 

1.ÖZET

Bu çalışmada, roketlerin tarihçesi, roketlerin hareket denklemleri, roketlerin yakıtları ve motorları, roket tipleri ve özellikleri, ses roketi ve son olarak roketlerle ilgili çeşitli haberler yer almaktadır. Roketler 13. yüzyıldan itibaren günümüze kadar büyük ilerlemeler kaydetmiş ve gelişmiştir. Bu sayede uzayı keşfetmek mümkün olmaktadır. Roketlerin hareketini anlayabilmek için Fiziği iyi bilmek gerekir. Fizikteki itme-momentum-hareket-enerjinin korunumu yasaları bize bu hareketi kolay bir şekilde anlama imkanı sağlar. Bu çalışmada Birleşik Devletler ile Rus roketleri ele alınmıştır. Birleşik Devletler ve Avrupa roketleri ile Rus roketlerinin uzunluk, çap, ağırlık ve itme gibi özellikleri çizelgeler halinde gösterilmiştir. Ses roketleri araştırmacılara oldukça yardımcı olur. Bir çok ses roketi uzay, mühendislik, ...vb. bilimlerde teknolojik yenilik için test zemini sağlar. Son olarak şu söylenebilir ki çeşitli ülkeler roket konusunda her geçen gün ilerlemeler kaydetmekte ve bunun sonucunda da bilimde yeni ufuklar açmaktadırlar.

 

2. GİRİŞ

Bir roket verilen bir yönde, yüksek hızda küçük bir kısmını fırlatan, kendi kendine yeten bir araçtır ve pratik bir hızla kalan kütleyi ivmelendirebilen bir itme reaksiyonu üretir. Diğer dünyalara yolculuk fikri günümüzden çok öncedir. Çok eskilerde, ikinci yüzyılda Yunan bilim adamı Samosata’lı Lucian bir hikâye kaleme aldı. Hikâyede bir grup denizci Cebelitarık Boğazı’ndan geçerken büyük bir deniz hortumuna yakalandı ve Ay’a fırlatıldı. Johannes Kepler bir bilim-kurgu yazdı. Kepler’in kahramanı kötü ruhlar tarafından Ay’a gönderildi. 1865 yılında Jules Verne klasik hikâyesini yayınladı. Bu hikâyede yolcular bir mermi içine yerleştirildi ve güçlü bir silahla namludan Ay’a doğru ateşlendi. Uzay uçuşu hakkındaki ilk doğru bilimsel fikirler Rusya’lı Konstantin Eduardouich Tsiolkovskii tarafından 1902 yılında bir dergide yayınlandı. Tsiolkovskii, sıradan uçma makinelerinin havasız uzayda çalışmayacağını fakat roketlerin çalışabileceğini biliyordu. Çünkü Isaac Newton’un tepki kanuna göre bu fikre sahipti. Her etki, eşit ve zıt bir tepkiye yol açıyordu. Örnek olarak, İngiltere’de gece Guy Fawkes’den fırlatılan sıradan ateşlemeli bir roketin gönderildiği düşünülsün. Roket, içi barut dolu delikli bir tüp içerir. Fitil yakılıp hemen çekildiğinde toz yanmaya başlar; sıcak gaz üretilir, egzoz çıkar, böylece tüpe zıt yönde bir etki uygulanır. Gaz aktıkça roket uçmaya devam eder. Uzayın keşfedilmesinde roketin evrimi büyük rol oynar. Uzayın keşfi diğer yollardan (rasathaneler ve radyo uyduları) yapılmışsa da günümüz için roketler uzayın, “bu yeni okyanusun” krallığını sürdürmektedir. Roketler, Kozmik okyanusta sınırların yıkılmasını sağlamıştır. Böylece yalnızca uzayın yabancı denizlerinin haritası elde edilmez. Aynı zamanda uzayda varoluş duygusu da geliştirilir.

 

3. TARİHÇE

Roketler konusunda ilk bilgi Tsien- King kuşatmasının gerçekleştiği 13. yüzyıla aittir. Uzay uçuşu hakkındaki ilk doğru bilimsel fikirler ise Rusya’lı Konstantin Eduardouich Tsiolkovskii tarafından ortaya atılmıştır. Tsiolkovskii, roketlerde katı yakıtların zayıf ve güvensiz olduğunu belirtmiştir ve sıvı yakıtlı roket motorunu planlamıştır. Tsiolkovskii pratik yapan bir bilim adamı değildi ve ilk sıvı yakıtlı roket 1926’ ya kadar ateşlenemedi. Amerikali bir mühendis olan Robert Hutching Goddard, Tsiolkovskii’ nin çalışmaları hakkında bilgisi olmadan yeterli özellikte bir roket yapmıştır. Bu, onlarca metre uçabilen, saatte 100 km’ nin altında bir zirve hızı olan (96,540 km /saat) bir roketti ve günümüz roketlerinin de atasıydı. Bundan birkaç yıl sonra içinde Wernher Von Braun’ un da bulunduğu bir Alman çalışma grubu, Berlin’in dışında bir roket uçurma alanı kurarak ilk deneylere başlamıştır. Nazi Hükümeti daha sonra bu olaya el koymuş ve roket ile ilgili çalışanları Peenemünde’ ye transfer etmiştir. Burası Baltık’ ta bir adaydı ve burada askeri silah üretimi yapılmakta idi. Yapılan çalışmalar sonucunda ilk “V2” roketi elde edildi. İkinci Dünya Savaşı’nın sonlarında (1944-1945), “V2” roketleri İngiltere’yi bombalamak amacıyla kullanılmıştır. Daha sonra Von Braun ve Peenemünde’ de bulunan birçok bilim adamı Amerika’ya gitmiş ve Amerika Birleşik Devletleri’nin ilk yapay uydusu olan “Explorer 1” in 1958 yılında fırlatılmasında görev almıştır. Bundan sonra Rusya da “Uzay Çağı” na giriş yaptı ve 4 Ekim 1957’de ilk insan yapımı uydu olan "Sputnik 1” i uzaya gönderdi. Bu, küçük bir radyo alıcısı taşıyordu ve yeni bir çağın başlangıcı olarak kabul edildi. Roketler konusunda gözle görülür gelişmeler 1957 yılından sonra meydana gelmiştir. Yapay uydular ve uzay istasyonları Dünya’nın yörüngesine oturtulmuştur. İnsanlar Ay’ a ulaşmıştır. İnsansız uzay araçları Pluto’dan itibaren bütün gezegenlere gönderilmiştir. Mars ve Venüs gezegenlerinin yüzeyleri incelenmiştir. 16. yüzyılda Johann Schmidlap, küçük roketleri büyük roketlerin üzerine ekleyerek ilk çok katlı roketleri oluşturmuştur. Büyük roketin yakıtı tükendiğinde roket aşağıya düşer ve ikinci roket ateşlenir. Schmidlap tarafından kullanılan roketler aşamalı roketler olarak adlandırılır. Günümüzde bu yöntem ile inşa edilmiş roketler sayesinde, uzaya ulaşmanın dışında Ay’a ve diğer gezegenlere ulaşmakta mümkün olmaktadır.

 

4. ROKETLERİN TEMELİ

 

4.1. Kütle

Kütle, roketin performansını etkileyen önemli bir faktördür. Roket uçuşunun temel prensibi olarak, bir roketin yerden ayrılabilmesi için, motorunun roketin toplam kütlesinden daha fazla itme gücü üretmesi gerekir. İdeal bir roket kütlesi için toplam kütlenin %91’i yakıt, %3’ü tanklar, motorlar, yüzgeçler vb. ve %6’sı diğer gezegen veya Ay’a seyahat için uydular, astronotlar veya uzay araçları olabilir. Bir roket tasarımının verimliliği kütle kesri (MF) ile ifade edilir ve roket yakıtının kütlesinin, roketin toplam kütlesine bölümü olarak aşağıdaki şekilde verilir;

Yukarıda verilen ifade kullanılarak ideal bir roket için bu değerin 0,91 olması gerekir. Kütle kesri formülünden %1,0’lik bir değerin mükemmel bir oran olduğu düşünülebilir, fakat yakıt miktarı karşısında önemsiz olarak görülür. MF ne kadar artarsa roketin taşıyabileceği yük azalır. 0,91’lik bir MF, yük taşıma kapasitesi ve menzil arasında iyi bir dengedir. Uzay taşıtları yaklaşık olarak 0,82 MF oranına sahiptirler. Uzaya uzay gemisi taşıyabilecek büyük roketler ciddi ağırlık problemlerine sahiptirler. Uzayda uygun yörünge hızına ulaşmak için büyük miktarda yakıta ihtiyaç duyulur. Bu yüzden yakıt tanklarının, motorların ve ilgili donanımların büyüklüğü artar. Bir noktaya kadar büyük roketler küçük roketlerden daha fazla yük taşıyabilir. Fakat roket çok büyük olduğunda ağırlığı artar ve kütle kesri, olması mümkün olmayan bir rakama düşer. 16. yüzyılda havai fişek yapımcısı Johann Schmidlap, küçük roketleri büyük roketlerin üzerine ekleyerek ağırlık problemine bir çözüm getirmiştir.

 

4.2. Momentumun Korunumu

Roket hareketinin temel ifadesi tek bir parçadan, parçalar sistemine doğru Newton’un birinci kanununun geniş bir yazılımı ile ifade edilir. Diş kuvvetlerin varlığında momentum korunur.

 

 O=mV+meVe   (4.2.1)

 

mV =  -me Ve                        (4.2.2)

 

Burada;

m= Roket kütlesi

V= Roket yakıtının yanması sonucunda kütle merkezine göre roketin kazandığı hız

 

me= Roket yakıtının kütlesi

Ve= Roketin egzozundan çıkan artık yakıtın kütle merkezine göre hızı

 

(4.2.2) eşitliği Newton’un üçüncü kanunu olan etki ve tepki kanunudur.

 

m ve me’nin her ikisi skaler büyüklük olduğu için V ve Ve zıt yönlü ve aynı doğrultu boyunca olmalıdır.

Böylece;

V=iv

Ve=-ive    (  4.2.3)

 

ve (4.2.2) eşitliği şöyle yazılabilir:

mv=mev (4.2.4)

(4.2.4) eşitliğindeki terimler skaler büyüklük olarak ifade edilir.

 

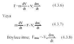
4.3. Rokette İtme

 

 Genel olarak bir rokette yakıt, toplam roket kütlesinin yaklaşık bir oranını oluşturur. Kimyasal bir rokette ise roket kütlesinin tamamı yakıttır. Belirli bir t zamanında roket V hızı ile bir referans noktasına göre hareket etsin. Bu durumda momentumu:

Pt=mV         (4.3.1)

 

 Fakat, dm = -dme  (4.3.4) olur.

Sonuçta,

 

Örnek Problem: 103kg’ lik bir roket hareket sahasına düşey olarak yerleştiriliyor. Yakıt 2kg/sn hızında azalıyor. Roketin yükselmeye başladığı andaki Ve’ nin kritik değerini bulunuz.

 

Çözüm:

Kritik Ve’ de itme yerçekiminin dış kuvvetine eşittir ve taşıtın üzerindeki net ivme sıfırdır. Sonuç olarak (4.3.7) eşitliği kullanılarak;

 

4.4. Belirli İtici Kuvvet

 

Rokete göre vehızında, bir δt aralığında roketten çıkarılan δme  kütlesindeki artış tarafından üretilen itme ele alınsın

.

 Roket bu aralıkta bir itici kuvvet alacaktır.

 İtici kuvvet çıkarılan kütleye bölünürse;

elde edilir.

Bu ifade bir roketin yakıt performansının direk bir ölçümüdür. Belirli itici kuvvet terimi, çıkarılan roket yakıtının ağırlığı başına düşen itici kuvvet için alınır.

 (4.4.4) eşitliği, birim zamanda üretilen itmenin çıkarılan ağırlığa oranıdır. İtme ve ağırlık özdeş birimlerde ise Isp, Newton/Newton/sn, yani saniye biriminde olur. Dolayısıyla zaman birimine sahiptir. Sonuç olarak şöyle söylenebilir: Bir yakıtın Isp  değerinin 500sn olması, üretilen itmenin 1 saniye içinde çıkarılan gazın ağırlığının 500 katı olması demektir. Bu büyük itmeyi üretmek için ve büyük olmalıdır.

 

ve=Ispge=(500sn)9,8 (10-3) km/sn2= 4,9 km/sn

 

Roketin tüm performansı ya itmenin ağırlığa oranı ile; Fitme/mege  ya da toplam itici kuvvetin ilk ağırlığa oranı ile;

 

ölçülür.

4.5 Roket Eşitligi

 

(4.3.7) eşitliği aşağıdaki gibi yazılabilir:  

 

Burada (4.3.4) eşitliği de kullanılabilir. Dış kuvvetin sadece yer çekimi olduğu kabul edilsin. Böylece, F=mg (4.5.2) olur ve moment için aoredinamik sürüklenme göz ardı edilir. Daha sonra aşağıdaki eşitlik bulunur:

 Sabit bir yerçekimi alanına karşın düşey fırlatmada (4.2.3) eşitliği kullanıldığında şu ifade yazılabilir: g=-ig (4.5.4) Buradan;

Roket eşitliği;

 elde edilir. Yerçekimini ve aerodinamik sürüklenmeyi içeren bütün dış kuvvetlerin olmaması halinde yanma hızı,

 

 ile verilir.

 Örnek Problem: Düşey olarak firlatılan bir roket, saniyede ilk roket kütlesinin 0,005’ine eşit oranda bir kütle çkarıyor. Eğer ve=5 km/sn ise 10 sn sonra roketin hızını ve yüksekliğini bulunuz. Aerodinamik sürüklenmeyi gözardı ediniz.

 

Çözüm:

 

4.6. Sabit İvmeli Roket

 

Hayvansal organizmaların üzerinde meydana gelen bozucu etkiler, roket ivmelerine doğal bir sınır oluşturur. İvme mümkün olduğu kadar sabit olmalıdır. Fakat itmeyi sabit tutmaktansa, ilk düşük seviyeden roket kütlesinin boşaltıldığı kritik yüksek seviyeye kadar değişen ivmeye de izin verilmelidir. Roketin dünyadan düşey olarak fırlatıldığı düşünülürse aşağıdaki eşitlik elde edilir:

veya

İntegral alınırsa;

 

 

veya

 

Aerodinamik Sürüklenme

 

(4.5.5) eşitliğine ihtiyaç duyan atmosferik sürüklenme kuvveti şöyle ifade edilir:

 Burada vbo, yanma zamanı olan t süresinde, düşey bir firlatma da hesaplanan, aerodinamik sürüklenmedeki asıl yanma hızıdır. Düşeyden farklı bir firlatma yönü için, gSinβ ifadesi (4.5.5) denklemindeki g’de yerine konur. Burada β yataydan yörünge yapan açıdır. (4.7.1) denklemini yaklaşık olarak çözmek için bazı bilgilere ihtiyaç vardır. İlk olarak taşıtın konumu ve zamanın bir fonksiyonu olarak hızı hakkında birinci derecede bilgi elde edebilmek amacıyla vakum yörüngesi hesaplanır. Buradan değerler farklı zamanlarda FDiçin yerleştirilir.

 

(FD: Sürüklenme kuvveti, Sp: Yakıt tankının taban alanı, CD: Yakıtın yoğunluğu)

 

Yakıtta kısa yanma süreleri için, sürüklenme faktörünün vbo’ın üzerindeki etkisi fazla değildir. Buna rağmen yanmadan sonra yörünge ve hız, sürüklenme kaybından aşırı derecede etkilenecektir.

 

4.8 Roket Verimliliği

 

Bir roketin verimliliği, roketin üzerine yapılan iş olarak tanımlanır. Bu da uygulanan itme sonucu oluşan işin toplam yayılan enerjiye oranıdır. E, yakıtın belirli enerji içeriği olsun. Daha sonra bir αE miktari roket motoru vasıtasıyla kinetik enerjiye dönüşür:

 

 itmenin büyüklüğü aşağıdaki ifadeye eşittir:

 

 Bir δr mesafesi için itme tarafından roketin üzerine yapılan iş:

 olur. Eger roket uygulanan itme yönünde hareketli ise yapılan iş maksimumdur. Yayılan toplam enerji;

 ifadesine eşittir. (4.8.3) ve (4.8.4) denklemleri birbirine oranlanır ve δme ihmal edilirse roket verimliliği için bir eşitlik elde edilir:

 Burada önemli olan üretilen itmedir, üretimin verimliliği değildir.

Rokete verilen enerjinin, birim yakıt kütlesine oranı;

 

 şeklinde gösterilir.

 

4.9 Bir Roket Jetinin Güç Dağılımı

 

Jetin içindeki kütle artışı dikkate alındığında kinetik enerji;

 

 Bir δt zamanında kütle çıkarılırsa jetteki güç:

 olarak bulunur. Eger Fitme  cinsinden yazılmak istenirse;

denklemi yazılabilir.

4.10 Yakıt Kütlesinin Seçimi

 

Kimyasal bir roket için mümkün olan en hafif yakıt araştırılır. İyonik roket için ise sadece ağır parçacıklar ele alınır. Bunlar cıva iyonları veya ağır organik moleküllerdir. Farklı yaklaşımların sebebini anlamak zor değildir. Kimyasal roket motorundaki asıl problem, yakıtın her gramı için mümkün olduğu kadar fazla itme kazanmasıdır. m ve m' kütlelerine sahip iki molekül tipi bir roket bölmesinin içinde enerjiye dönüşsün. Bu iki molekül tipinin ortalama enerjilerinin eşit olduğu dikkate alındığında:

elde edilir. Burada, m'=km (4.10.2) dir ve k çok büyük bir sayıdır.(4.10.1) eşitliğinden aşağıdaki ifade bulunur: v'=v/k1/2(4.10.3) Ağır molekülün momentumu: m'v'=(km) (v/k1/2)= k1/2mv (4.10.4) olur. Yani hafif molekülün momentumunun k1/2’sidir. Bununla birlikte yakıtın birim kütlesi başına kazanılan itme, k/k1/2=k1/2faktörü ile hafif molekülleri tercih eder. İyonik rokette önceden de belirtildiği gibi ağır parçacıklar ele alınır. Burada ağır moleküller düşük hızlara ivmelendirilir. (4.9.3) denklemi kullanılarak;

 yazılır. Bundan yararlanarak itmede bir kazanç sağlanmaksızın yakıt kütlesi daha hızlı tüketilir.

 

4.11 Radyoaktif Geri Tepme İtici Kuvveti

 

Radyoaktivitenin bulunduğu yıllarda ve özellikle 1940’larda çok miktarda radyoaktif madde üretiliyordu. Dolayısıyla yüzeyi radyoaktif madde ile kaplanan bir roketin ileri itilme olasılığı hakkında çeşitli düşünceler ortaya atıldı. Rokette yüzeye doğru hareketli parçacıklar içeri doğru soğurulduğunda, zıt olarak hareketli parçacıklar momentum taşır. Aktivite bitene kadar sürekli bir itme rokete verilir.

 

 4.12 Kademeli Roketler

 

Yıllarca önce en iyi kimyasal yakıtın plastik tanklarda depolanacağı, en hafif ağırlıktaki motora sahip bir roketin içine yerleştirileceği ve en uygun şartlar altında ateşleneceği düşünülüyordu. Henüz bir roketin Dünyadan kurtulması için gerekli hız sağlanamamıştı. Daha sonra bu probleme bir çözüm bulunmuştur.

 

24 Şubat 1949 yılında kademe prensibi gösterildi. Bu tarihte bir “Wac Corporal” roketi bir “V2” roketi ile desteklendi. Bu roket 6,5 dakikada 242 millik (yaklaşık 387km) bir yüksekliğe ulaşmıştır. Kademe prensibi aşağıdaki şekil yardımı ile açıklanabilir.

 

 

Şekil 4.12.1 Üç kademeli roket. Bir m0kademesinin yüklü kütlesi, mλ yük, ms yapı (ölü ağırlık) ve mp  yakıt kütlelerini içerir. Şekilden de görüleceği gibi üç roketin her biri önceki kademesinde yüklü olsun. Üçüncü roketin son kademedeki hızı :

olur. Eğer her bir kademe için harcanan hız aynı ise ;

 

elde edilir. Sonuç olarak bir etkili kütle oranı tanımlanır;

 

Yük λ, yapı (ölü agırlık) s ve yakıt p olduğuna göre;

 

 

 Burada şunlar yazılmalıdır;

 

 Böylece etkili kütle oranı aşağıdaki gibi olur:

Burada ε yararlı bir roket terimi olan yapı faktörüdür. İhmal edilebilir küçüklükteki yapı faktörü için: (ε 0):

 

 eşitliği bulunur. Burada tank veya diğer ölü ağırlıkların olmadığı varsayılır.

 

4.13 Radyasyon Basinci Tarafindan Meydana Gelen Itici Kuvvet

 

Garwin ve arkadaşları, güneş ışığının radyasyon basıncının uzay aracını ilerletmek için kullanilabilmesi konusunu ortaya atmışlardır. Bir radyant akısına bağlı basınç ile soğurulmuş bir yüzey bulunabilir:

 

prad= (φ / c) sogurulma (4.13.1)

Eğer radyasyon tamamen soğurulursa bu eşitlik yazılır. Burada φ radyant akısıdır (Birim zamanda birim alanda taşınan enerjide). c ise ışık hızıdır. Eğer yüzey toplam olarak yansıtıyorsa geri tepme fotonları, basıncın iki katına çıkmasına neden olur. prad= ( 2φ / c) yansıtma (4.13.2) Örnek problem:

 

Bir alumine plastik yelken (10-4gm/cm2degerinde) Dünya’nın yörüngesi yakınında Güneş’e bakıyor. Yerçekimi etkileri yok sayılırsa ivmesi ne olur? Çözüm: Radyasyon basıncı:

 

 Ivme:

 

olarak bulunur. Bir yelken bir taşıtı dıştaki bir yörüngeden içteki bir gezegenin yörüngesine doğru ilerletebilir.

      

Şekil 4.13.1 (a) Dünyadan sonraki gezegene ve (b) Dünyadan önceki gezegene yolculuk için bir yelkenin yerleştirilmesi.

 

 

Şekil 4.13.2 Yansıtıcı bir yüzeyin geri tepmesi. Düşen ve yansıyan ışınlardan meydana gelen sonuç kuvveti

 

 2Fincosγ değerindedir ve yüzeyle normal yapacak şekildedir. Eğer yansıma mükemmel kabul edilirse; Fin = Fre (4.13.3)

 

ve sonuç kuvvetinin değeri:

 

 

elde edilir. Yansıyan yüzeyin üzerindeki kuvvet:

 

Bu ifade radyasyon basıncının terimi olarak yazılırsa; Fs=pradScos2γ (4.13.6) olur. Burada S yüzey alanıdır. Dünya’nın yörüngesindeki rayarıçaplı radyasyon basıncı eğer p0ise, Güneş’ten herhangi bir r mesafesinde bir yelkenin üzerindeki kuvvet aşağıdaki gibidir:

 

 Bu kuvvet radyal ve açısal bileşkelere ayrılır:

Eğer ise, açısal bileşke veya sürüklenme kuvvetinin oldukça üstün olduğu görülür. Açısal bileşke, yelkeni 90 derece döndürerek hareket yönünde bir itme gibi davranır ve radyal bileşenin yardımı sayesinde yelkenin dış gezegene doğru helis yapmasına neden olur.

 

5. ROKET YAKITLARI ve MOTORLARI

 

5.1. Katı Yakıtlar ve Sıvı Yakıtlar

 

Günümüzde çoğu roket katı veya sıvı yakıt ile çalışır. Yakıtın yanması için bir oksitleyici yani oksijen olmalıdır. Jet uçaklar çevredeki havadan motorları içerisine oksijen çekerler. Roketler jet uçakların sahip olduğu lükse sahip değildir. Onlar oksijeni, hiç havanın olmadığı uzaya kendileri ile birlikte taşımalıdır. Dokunulduğunda kuru olan roket katı yakıtları, kimyasal içeriğinde yakıt ve oksitleyiciyi birleşmiş olarak içerir. Genellikle yakıt, hidrojen bileşikleri, karbon ve oksijen bileşiklerinden oluşan oksitleyici karışımdır.

 

 

Bir katı yakıtlı roket en basit motor şekline sahiptir. Bu, bir ağızlık, bir kasa, kaplama, yakıt ve bir tutuşturucu içerir. Motor kasası, içi kaplama ile astarlanmış nispeten ince bir metaldir. Yakıt, kaplamanın iç tarafında bulunmaktadır.

 

Bazı katı yakıtlı roket motorları, içinden yakıtın geçtiği bir iç boşluğa sahiptir. Yakıtın yanma işlemi bir noktadan başlar ve kademeli olarak devam eder. Bütün durumlarda yalnızca yakıtın yüzeyi yanar. Bununla birlikte daha büyük itme sağlamak için iç boşluk kullanılır. Bu, yakıtın mevcut yanma yüzeyini arttırır. Yakıt büyük bir hızla yanar. Yüksek hızda kütle ağızlık bölümünden dışarı gönderilir.

 

Katı yakıtları tutuşturmak için bir çok tutuşturucu çeşidi kullanılır. Günümüzde emniyetli ve güvenilir tutuşturma şekillerinden biri elektrik kullanmaktır. Elektrik akımı uzak bir mesafeden tel içerisinden geçer ve roket içerisindeki özel bir teli ıstır. Tel yakıtla temas ettiğinde yakıtın sıcaklığını yanmanın gerçekleşeceği noktaya kadar yükseltir. Diğer tutuşturucular sıcak tel tertibatlarından daha gelişmiştir. Bazıları önce tutuşan daha sonra yakıtı tutuşturan bir kimyasal yapı ile kaplıdır. Katı yakıtlı bir motorda ağızlık, roketin altından genleşen sıcak gazın çıkmasına izin veren bir açıklıktır. Ağızlığın dar kısmı boğazdır. Ağızlığın amacı, roketi terkeden gazların hızını arttırmaktır ve boğaz bunu maksimuma çıkarır. Roketin içerisinde olduğu gibi, sıcak gazlardan ağızlık kısmını korumak için kaplama yani yalıtım gerekir. Yalıtımın küçük parçaları çok sıcaktır ve ağızlıktan dışarı çıkar. Küçük parçalar dışarıya çıkarken sıcaklık da birlikte dışarı taşınır.

 

 

 Roket motorlarının temel çeşitlerinden birisi de sıvı yakıtların kullanıldığı motorlardır. Sıvı yakıtlar motor içerisine pompalanabilir veya basınçla beslenebilir. Bu, çok daha karmaşık bir motordur. Sıvı yakıtlar ayrı depolama tanklarına sahiptir. Bunlardan biri yakıt ve diğeri ise oksitleyici içindir.

 

 Bir sıvı yakıtlı roketin yakıtı genellikle gaz yağı veya sıvı hidrojendir. Oksitleyici ise genellikle sıvı oksijendir. Bunlar yanma odası olarak adlandırılan bir boşluk içerisinde birleştirilir. Yanma odası, yakıtların yandığı, yüksek sıcaklık ve basıncın oluştuğu bir bölümdür. Odanın çatısı üzerindeki küçük enjektörler aynı anda yakıtları püskürtür ve karıştırır. Çünkü oda yüksek basınç altında çalışır ve yakıtların basınçla itilmesi gerekir.

 

Her roket için, özellikle sıvı yakıtlı roketler için, ağırlık önemli bir faktördür. Genel olarak roket, ne kadar ağırsa yerden havalanmak için o kadar itmeye ihtiyaç duyar. Pompalar ve yakıt hatları nedeniyle sıvı yakıtlı motorlar katı yakıtlı motorlardan daha ağırdır.

 

Sıvı yakıtlı motorların ağırlığını azaltmanın iyi bir yolu, ağızlık çıkışının çıkış hunisini hafif ağırlıklı metallerden yapmaktır. Bununla birlikte huni içerisinden geçen son derece sıcak ve hızlı hareket eden gazlar ince metali eritir. Bu yüzden bir soğutma sistemi gerekir. Sıvı yakıtlı motorlarda, küçük sıcaklıktaki sıvı hidrojeni kullanan yüksek verimli ve karmaşık bir soğutma sistemi yer alır. Hidrojen –253 °C sıcaklığa soğutulduğunda sıvı hale gelir. Burada çıkış hunisinin duvarlarında bulunan küçük tüpler göze çarpar. Tüplerdeki hidrojen meydana gelen fazla ısıyı emer ve duvarların erimesini önler.

 

5.2. Motor İtme Kontrolü

 

Bir motorun itmesinin kontrol edilmesi oldukça önemlidir. Çok kısa veya çok uzun zaman aralığında itme, bir uydunun yanlış yörüngeye oturmasına neden olur. Bu durum uydunun,yararlı olmayacak kadar uzağa gitmesine veya Dünya’ya geri dönmesine yol açar. Roketin idare sistemindeki bir bilgisayar, motorun uygun şekilde çalışmasını ya da durmasını ve itmenin gerektiği zamanı belirler. Sıvı yakıtlı motorlar bu işlemi, yanma odasına yakıt akışını başlatma veya durdurma esasına dayanarak gerçekleştirir. Gelişmiş uçuşlarda ( örneğin Ay’a gitmek gibi ) motorlar çeşitli zamanlarda çalışır ve durur. Bazı sıvı yakıtlı motorlar yanma odasına giren yakıt miktarını ayarlayarak motor itme oranını düzenler. Katı yakıtlı roketler sıvı yakıtlı roketler kadar kolay kontrol edilemez. Burada yanmaya başladıktan sonra yakıt, bitinceye kadar yanar. Yanmayı durdurmak veya yavaşlatmak çok zordur. Bazı katı yakıtlı motorlar, oda basıncını boşaltan ve itmeyi sonlandırabilen sistemlere sahiptir.

 

5.3. Kararlılık ve Kontrol Sistemleri

 

Verimli bir roket motoru yapmak başarılı bir roketin sadece bir bölümünü oluşturur. Roket, uçuşu sırasında kararlı olmalıdır. Kararlı bir roket değişmeyen bir yönde düzgün şekilde uçar. Kararsız roketler ise istikrarsız bir yönde uçar ve bazı zamanlar sarsılır. Kararlı bir roket, bir kontrol sistemi biçimini gerektirir. Kontroller aktif ve pasif olmak üzere ikiye ayrılır. Burada önemli olan bir roketi neyin kararlı veya kararsız yaptığını anlamaktır. Bütün problem boyut, kütle ya da şekle bakmaksızın ağırlık merkezi (KM) olarak adlandırılan bir noktaya sahip olmaktır. Ağırlık merkezi, bir maddenin ağırlığına tam olarak karşılık gelen, kusursuz biçimde dengelenmiş yerdir. Ağırlık merkezi etrafinda kararsız roketin dönmesi nedeniyle roket uçuşunda ağırlık merkezi önemlidir.

 

Roketin uçarken dönmesi üç eksen etrafinda gerçekleşir. Bu eksenler; yuvarlanma, firlatma ve sapma olarak adlandırılır. Bu üç eksenin kesiştiği nokta ağırlık merkezini verir. Roketin uç kısımlarında, firlatma ve sapma eksenleri oldukça önemlidir. Çünkü bu iki doğrultudaki herhangi bir oynama roketi rotasından çıkarır. Yuvarlanma ekseni ise diğer eksenlere göre daha az önemlidir. Yuvarlanma eksenindeki oynamanın uçuş yoluna bir etkisi yoktur. Roketin geneli için uçuşta yuvarlanma hareketi roketin dengelenmesine yardım eder. Fırlatma ve sapma eksenlerindeki dengesiz hareketler roketin olması gereken yörüngesinden ayrılmasına neden olur. Dengesiz hareketlenmeyi en aza indirmek veya engellemek için bir kontrol sistemine ihtiyaç duyulur. Roketin içinde ağırlık merkezinden başka onun uçuşunu etkileyen önemli bir merkez daha vardır. Bu, basınç merkezidir. Basınç merkezi hava hareket eden roketten geçtiğinde oluşur. Roketin dış yüzeyine sürtünen hava akımı roketin üç ekseninden biri etrafinda hareketlenmenin başlamasına yol açar. Roketlerdeki kontrol aktif veya pasiftir. Roketin dış yüzeyinde bulunan pasif kontrol sistemleri roketin dengede kalmasını sağlar. Uçuşta dengenin sağlanması için aktif kontroller hareket ettirilir.

 

5.4. Katı Yakıtlı Roketler

 

Katı bir yakıt, oksitleyici madde ve yanan maddeden meydana gelir. Bu yakıt katı fazdadır ve modelli bir şekle sahiptir. Yakıtın yüzey alanının yanması itme ile ilişkilidir. Artan bir yüzey alanı itmeyi arttırır. Fakat artan yüzey alanı yüksek hızda yanma ile yakıtın yanma zamanını azaltır. Roket yakıtındaki tanecik için belirli itme hesaba katılmalıdır. Eğer bir yakıt yüksek belirli itme ile yüksek yüzey alanındaki taneciğe sahip bir rokette yakıt olarak kullanılırsa büyük miktarda itme tutuşmayı sağlar. Baruttan daha güçlü yakıtlara dönüşüm, modern katı yakıtlı roketlerin gelişmesine yol açtı. Kimya bilim dalının ilerlemesiyle bilim adamları daha güçlü yakıtları araştırdılar. Bazı yaygın katı oksitleyiciler: Amonyum Perklorit (NH4-CIO4) ve Potasyum Nitrat (KNO3) vb. Bunlar baruttaki oksitleme bileşikleridir. Kompozit, bir yakit oksitleyicinin ve yakıtın karıştırılmış mekanik bir bileşiğidir. Oksitleyiciler kompozit yakıt yapmak için sıklıkla sentetik kauçuklarla karıştırılır. Bu sentetik kauçuklar; polisitron, polisülfat ve poliüretandir.

 

Katı yakıtlı roketler basit roketlerdir. Bu roketler bazı dezavantajlara sahiptir. Katı yakıt tutuşturulduğunda yakıtın tamamı durmaksızın bitinceye kadar yanar. Oldukça düşük belirli itme, itmenin büyük değerleri için katı yakıtlı roketlerin kullanımı sınırlar.

 

5.5. Sıvı Yakıt Roketleri Nasıl Çalşır?

 

Sıvı yakıtlı roketlerden ilk olarak 1896 yılında Tsiolkovski tarafından yapılan gezegenlerarası uzay araştırmasında sözedilmiştir. Bu bilim adamının fikri 27 yıl sonra gerçekleşmiştir. Robert H. Goddard ilk sıvı yakıtlı roketi firlatmıştır. Sıvı yakıtlı roketler Rus ve Amerikan uzay araçlarında, Energiya SL-17 ve Satürn V roketlerinde kullanılmıştır. Bu roketlerin yüksek itme kapasiteleri insanları göklere yönlendirmiş ve roket gelişimini hızlandırmıştır. Sıvı yakıtlı roketler bir yakıt ve bir oksitleyiciden oluşur. Yakıt ve oksitleyiciyi muhafaza eden iki metal tank vardır. Fırlatma esnasında sırasıyla iki vana, depolanan sıvının borulara akmasına izin veren konuma getirilir. Eğer vanalar yanma odasına sıvı yakıtın kendi ağırlığınca akmasına izin verecek şekilde basitçe açılmış ise bir kararsız akış hızı meydana gelir ve bu da zayıf bir itmeye neden olur (Dengesiz itme hizina sebep verir). Bu problemin iki çözümü vardır: (1) Basınçlı gaz besleme, (2) Bir turbo pompa ile besleme. Bunlardan basit olanı basınçlı gaz besleme sistemine yüksek basınçlı bir gaz tankı eklemektir. Buradaki gaz reaktif olmayan (inert) ve hafif bir gazdır (Örneğin Helyum gibi). Yüksek basınç altında gaz bir vana ile depolanır ve dengelenir. Gaz tankının içerisinde basınç dengesi oluşturacak şekilde gaz akar. Bu işlemde borular ve yakıt tankları önemlidir. Her ne kadar gaz tanki denge basıncına karşı koyabilirse de borular ve yakıt tankları bir yanma arızasına neden olabilir. Bu basıncı yenecek yakıt tankları kullanılabilir. Fakat bu tankların kütlesi aşırı derecede fazladır. Sonuç olarak vana, yakıt tankları ile birlikte sabit basıncı muhafaza edebilecek bir akışı kontrol eder. Yakıt yüzeyinin üzerine uygulanan sabit kuvvet (basınç), yanma odasının içine doğru itilen sabit bir akışla sağlanır. Gaz depo tankından çıkan bu akış, yakıtın yakıt tankından çıkmasına neden olur. Yakıt akışının yüksek bir oranda olması için sistemin başlangıçtaki basıncını arttırmak gerekir. Sıkça tercih edilen ikinci bir çözüm turbo pompadır.

 

Turbo pompa fonksiyon olarak düzenli bir pompa ile aynıdır ve gaz basınçlı sistemde gazı yanma bölümünün içine doğru ivmelendirir. Burada pompayı çalıştıracak bir enerjiye ihtiyaç vardır. Bu enerji büyük yakıt tanklarına depolanmıştır. Depolanmış kimyasal enerjiyi pompa enerjisine dönüştürmek için küçük bir roket motoru eklenir. Bu küçük motor tipik olarak asıl yakıtla ayni yakıtları kullanır, fakat boyutları küçük olduğundan dolayı küçük bir itme üretimi sağlar. Bu motordaki itme bir türbine yollanır. Bulunan bir pervane türbinin hızlı şekilde dönmesini sağlar. Turbo pompayı çalıştırmak amacıyla gerekli olan mekanik enerjiyi elde etmek için, bu işlem kimyasal enerjiyi mekanik enerjiye dönüştürür. Yanma odasına gönderilen yakıtlar olayı karmaşık bir hale getirir.

 

Oksitleyici ve yakıt karıştırılıp yanma odasında tutuşturulduğunda itme meydana gelir. Bu büyük itme roketi yukarı doğru iter. Yakıt akış hızı ve yanma odasının duvar dayanımı hesaba katılarak yanma sisteminde oluşturulan yoğun basınç belirlenmelidir. Yakıt akış hızı çok küçük olursa yakıt yanma odasına girmez. Bir gaz basınçlı veya turbo pompalı uygun sistem kullanılarak bu problemden kurtulmak mümkün olur. Karşılaşılan diğer bir problem ise oksitleyici ve yakıtın yanmasının oluşturduğu yoğun sıcaklıktır. Yakıtın yanma odası ve ağızlık etrafinda sirkülasyon yapılmasıyla bu problem çözülür. Yakıtlar son derecede soğuktur ve bunlar yanma odasının sıcak yüzeyi etrafinda akarken motor sıcaklığının bir kısmını soğurup yavaşça buharlaşır. Bu buharlaşma üç etkiye neden olur: (1) Belirtildiği gibi buharlaşma soğutması, (2) Buharlaşan yakıt hacminin artmasıyla toplam basıncın artması, (3) Katalitik etki (Daha fazla reaksiyonel gazların oluşması daha verimli yakma sağlar. Bu da roketin tüm performansını arttırır). Sıvı oksijen en yaygın kullanılan oksitleyicidir. Sıvı yakıtlı roketlerde kullanılan diğer oksitleyici kapsamı; Hidrojen Peroksit (%95 H2O2), Nitrik Asit (HNO3) ve sıvı Florür’dür. Modern sıvı yakıtlı roketlerde sıvı Florür çok nadir olarak kullanılır. STP (Standart sıcaklık; 25 °C ve standart basınç; 1 Atm veya 760 torr)’de oksijen ve florür gazdır. Bu fazda yanma oluşabilir.

 

Ancak oksijen ve florür gazının oksitleyici tankta depolanan miktarı gerekli itmeyi sağlamaz. Bundan dolayı bu gazları sıvı faza çevirmek için sıcaklıkları belirgin bir şekilde düşürülür ve böylece oksitleyici olarak kullanılır. Sıkça kullanılan sıvı yakıtların kapsamı: sıvı hidrojen, sıvı amonyak (NH3), hidrazin (N2H4) ve kerosin (hidrokarbon) dir. %76 oranında oksijen içeren nitrik asit başka bir oksitleyicidir. STP’ de nitrik asit sıvı fazdadır. Ancak nitrik asitin muhafazası tehlikelidir. Çünkü onun su ile karışması güçlü bir asit oluşturur ve bir yakıtla yanması sonucunda zararlı sonuçlar ortaya çıkabilir. Bu sebeple nitrik asitin kullanımı sınırlandırılmıştır.

 

5.6. Kullanılan Bazı Motorlar

 

ilk Amerikan Ay araştırması çalışmaları Cape Canaveral üssünde yoğun bir şekilde başlamıştır. Sonradan Altair olarak adlandırılan X-248 fiberglas tabanlı katı motor, Thor Able fırlatma taşıtı tarafından taşınmıştır. Altair katı motorların ilkidir ve ortaya çıkan benzerlerinin en başarılısıdır. Thor Able taşıtı, uyduları sınıflandırarak yörüngeye oturtmak için fırlatılmıştır. Kullanılan diğer bir motor Thiokol’un Star 37 motorudur. İlk Star 37, 1960 yılında Ay araştırmalarında yumuşak iniş sağlamak için motor hız kesici ile geliştirilmiştir. Hemen sonrasında askeri hava uydularını fırlatmak amacıyla kullanılan Thor Burner-2 roketinin üzerinde üst aşama olarak kullanılmıştır. Amerika Birleşik Devletleri’ne ait askeri radar uyduları katı motorları, daha yüksek yörüngelere nükleer reaktörlerini kaydırmak için kullanmıştır. İngiltere belli sayıda katı motor geliştirmiştir ve bir uydu fırlatmıştır. Bu fırlatmada Black Arrow roketi kullanılmıştır. Bu roket Waxwing isminde bir katı motora sahiptir. 1960’ların sonunda ve 1970’lerin başında sıvı motorlar ilk Zenit-2 casus uydularını yörüngeye yerleştirmek amacıyla kullanılmıştır. BE-3 motoru da eski yıllara ait ilginç motorlardan bir tanesidir.

 

Çizelge-5.1. Sıvı yakıtlı  Motorlar

 

 

 

6. BAZI ROKET TİPLERİ ve ÖZELLİKLERİ

 

Bu bölümde bazı roket tipleri gösterilecek ve çeşitli ülkelere ait roketlerin özellikleri çizelge halinde verilecektir.

 

6.1. Birleşik Devletler Roketleri

 

 

6.2. Rus Roketleri

 

 

 

 

 

 

 

 

 

 

 

 

 

 

7.ÖZEL BIR ROKET: SES ROKETI

 

Çevre araştirmalarinin yüksek harcamali olmasi nedeniyle dikkate deger keşifler yapmak için düşük fiyatli yöntemler gerekir. Araştirmacilar çeşitli metodlar kullanirlar. Bu araştirmacilar ses roketlerinden yararlanarak bir çok önemli veri elde ederler ve böylece bilimde ilerleme kaydedilir. Bir çok ses roketi uzay, atmosfer, yeryüzü ve mühendislik bilimlerinde teknolojik yenilik ve degişiklikler için test zemini saglar. Ses roketi programi doktora tezlerine yol açan çok sayida proje üretmiştir.

 

 

8. ROKETLERDEN HABERLER

 

Tokyo,12 Temmuz 2000; Japonya’ya ait H2A roketi test sırasında başarısız oldu. Fakat Ulusal Uzay Gelişim Firması yakın bir zamanda roketin fırlatılmasının doğru bir şekilde yapılacağını belirtti.

 

Tokyo, 24 Ağustos 2000; Tanegashima Uzay Merkezi’nde H2A ana roketinin gelecekteki yeni üretimi için LE7A motorunun 150 saniyelik tutuşma testi başarıyla sürdürüldü.

 

Paris, 16 Agustos 2000; 3 aylık bir gecikmeden sonra Avrupa yapımı iki telekomünikasyon uydusu Ariane 4 roketi ile birlikte yörüngelerine firlatıldı.

 

 Evry, 18 Agustos 2000; İki telekomünikasyon uydusunu taşıyan Ariane 4 roketi Fransa’dan kalktı. Brasilsat-B4 ve Nilesat-102’yi taşıyan roket uygun bir şekilde havalandı. Fırlatmadan 25 dakika sonra iki uyduyu yörüngeye bıraktı. Brasilsat-B4 uydusu 12-13 yıl için Brezilya’da televizyon ve telekomünikasyon servislerini sağlayacaktır. Nilesat-102 ise Kuzey Afrika ve İran Körfezi’ndeki ülkelere dijital televizyon programları dağıtacaktır.

 

 Moskova, 29 Ağustos 2000; Rusya’ya ait askeri bir iletişim uydusunu taşıyan roket Kazakistan’daki Baikanur istasyonundan fırlatıldı.

 

9. SONUÇ

Eski zamanlardan beri uzay insanların ilgisini çekmiştir. Uzayın bir sonunun olup olmadığı, nerelere kadar uzandığı bilim adamlarını ilgilendiren bir konu olmakta devam etmiştir. Roketlerin gelişmesi insanlara uzayın kapılarını aralayınca bu konudaki çalışmalar büyük bir hız kazanmıştır. Roketlerin ileride insanları götüreceği yer belli değildir. Bu, bilimde gerçekleşen keşiflere dayanarak roketlerin gelişmesine bağlıdır. Roketler sayesinde insanoğlu sınırları aşarak önemli adımlar atmıştır. Buraya kadar her yönüyle incelenen roketler yeni dünyaların kapısını aralar ve bilinmeyen pek çok soruya yanıt bulma imkanı sağlar.

 

10. KAYNAKLAR

 

BERMAN, A.1961. The Physical Principles of Astronautics, “ İtme Dinamiği”. Sayfa 241-261

 

MOORE, P.1995. Atlas of The Universe, “Uzayda Roketler”. Sayfa 22,23.

 

ZOMBECK, M.1990. Handbook of Space Astronomy and Astrophysics, “Havacılık ve Uzayda Yolculuk İlmi”. Sayfa 388,389,394. http://www.bu.edu/csp/uv/s-rocket/home.html http://space-ship.com/

 

Sayfa düzenleme: Çetin BAL

Hiçbir yazı/ resim  izinsiz olarak kullanılamaz!!  Telif hakları uyarınca bu bir suçtur..! Tüm hakları Çetin BAL' a aittir. Kaynak gösterilmek şartıyla  siteden alıntı yapılabilir.

 © 1998 Cetin BAL - GSM:+90  05366063183 - Turkiye / Denizli 

Ana Sayfa /Index /Roket bilimi / E-Mail /Astronomy  /UFO Galerisi  /UFO Technology/

Kuantum Teleportation /Uçaklar(Aeroplane) /Time Travel Technology

New World Order(Macro Philosophy)  /Kuantum Fizigi