Bir cisme göre durgun olan biri tarafından ölçülen
uzunluk, o cismin öz uzunluğudur. Yine aynı cismin, kendine göre hareketli bir
referans sistemi tarafından ölçülen uzunluğu öz uzunluğundan küçüktür. Bunun
nasıl olduğunu daha önceki bilgilerimizden yola çıkarak gösterelim.

Boy Kısalması
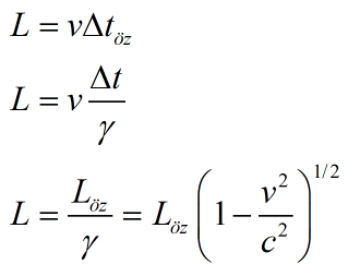
Buradan görüyoruz ki, cismin durgun halindeki uzunluğu olan öz uzunluğu, bu
uzunluğuna paralel doğrultuda hareket ederken boyu kısalır. Elbette ki bu
kısalmanın ciddi miktarlarda olması için bu hızın ışık hızına çok yakın
hızlarda olması gerekir. Bunun için aşağıdaki grafikte gama çarpanının ışık
hızına yakın hızlarda nasıl değiştiğine bakabiliriz. Zaman kısalmasının aksine
buradaki çarpanın ters olduğuna dikkat ediniz. Dolayısıyla ışık hızına
yaklaştıkça boyun da 0’a yaklaştığını görürüz.

Gama çarpanının hıza bağlı artış grafiği. Buradan görülüyor ki ışık hızının
10’da 1’i gibi hızlarda gama yaklaşık olarak 1’dir. Yani farklılık çok azdır.
Esas fark ışık hızına yakın hızlarda ortaya çıkar.
Aşağıdaki resimde üst kısımda Ay’a ışık hızına yakın bir hızda yaklaşmakta
olan gözlemcinin gördüğü an resmedilmiş. Ona göre Ay kendisine ışık hızına
yakın bir hızla yaklaştığında Ay’ın boyu kendisi hareketine paralel doğru
boyunca kısalmış olarak görünür.
Alt kısımda ise bu sefer diğer referans sisteminden olay gözlemlenir.
Dünya’dan bakan bir gözlemci kendisine ışık hızına yakın bir hızla yaklaşan
uzay aracının, geliş doğrultusu boyunca boyunun kısaldığını görür.

Bu zamana kadar anlattıklarımız özet olarak “Görelilik” kavramının ne olduğunu
doğru açıklayabilmek ve bunun sonucunda nasıl olaylar gerçekleştiğini
anlatmaktı. Yani söz konusu Özel Görelilik olduğunda, problemi doğru
belirlemek, problemi çözmekteki esas anahtardır. Bunun için bir önceki yazıda
ele aldığımız Zaman Genişlemesi ve İkizler Paradoksu‘nu iyice anlamanızı
tavsiye ediyoruz.
Ögetay Kayalı
1) Referans Sistemleri
2) Lorentz Dönüşümleri
3) Michelson – Morley Deneyi
4) Zaman Genişlemesi ve İkizler Paradoksu
5) Boy Kısalması
6) Kütlenin ve Momentumun Göreliliği
Özel Görelilik 5: Boy Kısalması
“Özel göreliliğin bir diğer önemli sonucu da boy
kısalmasıdır. Tıpkı zaman genişlemesinde olduğu gibi, ışık hızına yakın hızlarda
boy da göreli olarak değişime uğrar.”
© Çetin BAL -
GSM:+90 05366063183 -Turkey / Denizli