
Newton kütleyi momentum ve güç vektörlerini tanımlamak
için kullanmıştır. Kütlenin momentumu (P)’nin bulunması hız (v) ile kütlenin
(m) çarpılmasıyla (P=m.v) elde edilir. Güç (F) ise kütlenin momentumunun
zamana (T) göre artış oranıdır. (F=dp/dt) Eğer kütle sabit ise (roketler gibi,
ilerleme sırasında ciddi kütle kaybeden cisimleri bir kenara bırakırsak)
Newton’un bu iki yasası F=mdv/dt şeklinde gösterilebilir. Buradaki dv/dt yani
hızın zamana göre değişimi ivmeyi (a) verir. Formül kısaca Newton’un hareket
yasalarının ikincisi olan F=m.a olarak yazılabilir.
Newton’un kütle ve hareket için yaptığı bu tanım benimsenmiş ve neredeyse 2
yüzyıl boyunca kullanılmıştır. Daha sonra Einstein sahneye çıkmış ve özel
görelilik adı altında ortaya koyduğu hareket yasalarıyla kütlenin durumunu
daha karmaşık, ancak daha belirgin bir hale büründürmüştür.
Klasik fizik, bize bir cismin durgun ve hareketli kütlesinin her tür referans
sisteminde eşit olduğunu söyler. Oysa, özel görelilik hareketli cisimlerin
daha fazla kütle kazanma eğiliminde olduğunu göstermiştir. Buna göre bir
atlet, koşmaya başladığında durgun halinden daha fazla kütleye sahiptir. Tabi,
bir atletin hızı çok düşük olduğu için, kütlesindeki artış ölçülemeyecek,
önemsenmeyecek kadar azdır. Rölativistik hızlar dediğimiz ışık hızına yakın
hızlarda, bu kütle artışı oldukça belirgin boyutlara ulaşır ve ölçülebilir.
Özel Görelilik’te maddenin kütlesi iki farklı şekilde karşımıza çıkar. İvme ve
üzerine etkiyen kuvvet ile bulunan sabit kütleye, özel görelilikte maddenin
“durgun kütlesi” denir. Bu, cismin durgun olduğu kabul edilen bir referans
sistemi içindeki kütlesidir. Cismin hakiki kütlesi olarak da düşünebileceğimiz
bu durgun kütle gözlemcilerden bağımsızdır.
Yani A referans sistemindeki bir gözlemci X cismini alıp kendi referans
sisteminde durgun hale getirince ölçeceği kütleye M dersek; B referans
sistemindeki başka bir gözlemci de aynı X cismini kendi referans sisteminde
durdurup ölçtüğünde çıkan sonuca M‘ dersek, A‘da çıkan M sonucu ve B‘de çıkan
M‘ sonucu aynı olur. M=M‘

Fakat cisim hareket ediyorsa hızlanma (a) ve güç (F) ilişkisine, yani kütleye
cismin hızı ve etki eder. Dolayısıyla, hareket eden bir cismin kütlesi
gözlemlenen referans noktasına göre değişkenlik gösterir.
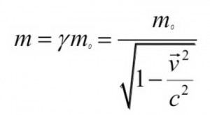
Denkleme baktığımızda hızın yani V‘nin arttıkça, C değerine yaklaştıkça kök
içindeki sayının azalmaya başladığını görürüz. Kesirin payı olan M0 durgun
kütleyi temsil ettiği için sabittir fakat kök içindeki payda kısmı azaldığı
için eşitliğin diğer tarafındaki M değeri yani göreli kütle cisim hız
kazandıkça artar.
Göreli kütle ve durgun kütle kavramları modern fiziğin yapıtaşlarından
sayılmaktadır. Göreli kütle, durgun kütlenin aksine cismin enerjisine yani
momentum ve hızına bağlıdır. Aslında bunun nedeni momentumun korunması
ilkesine bağlıdır.
Not: “Göreli kütle” kavramı ile ilgili şu yazımızı okumanızda fayda var.
Momentumun korunmasının gerekliliğinden dolayı; hareket halinde olan bir
cismin kütlesinin aslında cismin o anki hızına bağlı olması gerektiği sonucuna
varılır. Kısaca momentumu korumak için ödenen bedel kütleyi mecburen göreli
yapmaktan geçmiştir.
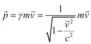
Klasik mekanikte momentum formülü olarak kullandığımız P=mv için, hız arttıkça
momentumu korunmasını sağlamamız gerekir. Özel görelilikte bu formüle
lorentz
dönüşümlerindeki gamma faktörünü ekleriz ve yandaki hale bürünür. Hız arttıkça
kök içindeki sayı küçülmeye başlayacak, dolayısıyla kesirli sayının ifade
ettiği değer büyüyecektir.

Formüle yapılan bu eklentinin kütleyi göreli yapması dışında en büyük etkisi
cismin kazanacağı hızı sınırlanmış olmasıdır. Klasik mekanikte cisme etkiyen
kuvvete göre momentum da düzgün bir şekilde arttırmaya devam eder ve bu,
cismin hızının ışık hızının ötesine çıkmasına yol açar. Hız için vereceğiniz
enerji haricinizde bir sınırınız kalmaz. Fakat özel görelilikte cisme verilen
enerji ile kazandırılan momentum, cismin hızını düzgün bir şekilde sonsuza
kadar arttırmak yerine ışık hızına asimptotik olarak sürekli yaklaştırır,
ancak ulaşamaz.
Neyse ki bu öngörüyü deneyler ile sınamak sanıldığı kadar zor olmamıştır.
Kütlenin göreli olduğuna dair ilk bulgu 1908 yılında gerçekleşir. Bir vakum
tüpü içindeki hızla ilerleyen elektronların kütlesi ölçüldüğünde durgun kabul
edilen elektronlara göre 2 kat daha fazla kütleye sahip oldukları görülmüştür.

LHC’de bir proton hızlandırılarak 0.99999999 ışık hızına çıkartılır ve bu
hızdayken kütlesi durgun kütlesine oranla 7100 kat daha fazladır.
Günümüzde sıkça adını duyduğumuz Büyük Hadron Çarpıştırıcısı (LHC) gibi
parçacık hızlandırıcılarında elektron ve proton gibi parçacıkları hızlandırmak
için oldukça güçlü elektrik alanları oluşturulur. Bu parçacıklar, ışık hızına
çok yakın hızlara ulaşacak kadar hızlandırılırlar ve bu hıza yaklaştıkça
kütleleri artar. Kütleleri arttığından dolayı daha fazla hızlanmaları için
gereken enerji ihtiyacı da artar.
Taylan Kasar
Özel görelilik yazı dizimizin önceki bölümlerini okumak için:
1) Referans Sistemleri
2) Lorentz Dönüşümleri
3) Michelson – Morley Deneyi
4) Zaman Genişlemesi ve İkizler Paradoksu
5) Boy Kısalması
6) Kütlenin ve Momentumun Göreliliği