
Bir bahar gününde 1961 model beyaz Chevy Impala’sının
içerisinde koltuğuna yayılmış bir şekilde uzun bir yolda ilerliyordu. Güneş,
sol tarafındaki ucu bucağı görünmeyen buğday tarlalarının ardından
batmaktaydı. Turuncumsu kızıllığı, açık penceresinden de giren hafif rüzgar
tarafından bir o yana bir bu yana savrulan buğday tanelerinin arasından
süzülüyordu. Gözlerini kısarak gün batımının güzelliğine kaptırdı kendini. Bu
sırada yanından bir araç hızla geçerek rüzgarını suratına çarparak bir anda
onu uyandırdı. Halbuki çok hızlı gitmiyordu, yanından geçen araç da öyle.
Fakat karşılıklı gelmişlerdi, bu sebeple hızlı ani bir rüzgar hissetti. Sonra
tekrar gün batımının harikalığına kaptırdı kendini. Acaba Güneş’e doğru
sürseydi, onu daha derinden hissedebilir miydi?
Gündelik hayatta her ne kadar kullansak da, ışık hızına yakın hızlara
yaklaştığımızda iş başka boyutlara taşınır. Bunu bugün parçacık
hızlandırıcılarda test etmemiz mümkün. Belirli bir potansiyel fark altında bir
elektronu 0,99c, yani ışık hızının %99’una kadar hızlandırdığımızı düşünelim.
Eğer potansiyel farkı 4 kat artırırsak, elektronun kinetik enerjisi de 4 kat
artmalı, yani hızı 2 kat artıp 1,98c olmalıdır. Fakat yapılan deneylerde
görüyoruz ki, bu potansiyel farkı yüzlerce, hatta binlerce kat artırsak dahi,
hız hep ışık hızının altında kalıyor. Yani ışığı karşınıza alıp ona doğru
gitseniz dahi, hızını yanınızdan geçen araçtaki gibi artmış olarak
görmüyorsunuz.Einstein’ın bu önemli keşfi, ışık hızına yakın hızlarda işin
nasıl değiştiğini bize anlatıyor.
“Göreli” kelimesi, bir şeye veya bir olguya göre değişim gösteren, kişiden
kişiye farklı algılanan anlamlarına gelir. Yani ortada gözlemciden gözlemciye
değişen bir durum söz konusu.
Bunun nasıl işlediğini anlamak için öncelikle “Referans Sistemleri”ni
incelemeliyiz.
Uzayda bir noktada yer alıyoruz. Farz edin ki bir astronotsunuz ve kendinizi
tamamen boşlukta buldunuz. Ne Dünya var ne de tanıdığınız yıldızlar. Siz
neredesiniz? Hangi yön ne taraf? Hareketinizi ne yönde yapıyorsunuz? Hiçbir
şeyi algılamanız mümkün değil. Ancak bazı yıldızları tanımlayıp, kendinize bir
koordinat sistemi çizebilirsiniz. Bu, artık sizin bir referans sisteminiz
olmuştur. Bunu gündelik hayattaki problemlerde de kullanırız. Aracınızın
içerisindeyken bir referans sisteminiz vardır, ne yönde gittiğinizi tarif
edebilirsiniz. Siz sabit, etrafınızdaki şeyler hareketli görünebilir. Karşıdan
gelen aracın hızını ölçebilirsiniz. Fakat dışarıdan bakan birisi, iki aracın
hareketini de ayrı ayrı tanımlayabilir. Fakat belki o da hareketlidir…
Galileo Görelilik İlkesi
Newton yasaları tüm eylemsiz referans sistemlerinde geçerlidir. Eylemsiz
referans sistemleri, sistemin içinde gözlenen cisme etkiyen hiçbir kuvvet
yokken ivmesi sıfır olan bir referans sistemidir. Yani, sabit hızla hareket
eden bir sistem de eylemsiz referans sistemidir. Bu demek oluyor ki, sabit
hızla hareket eden bir araçta yapılan deneyin sonuçları ile, hareketsiz bir
araçta yapılan deneyin sonuçları özdeştir.
Mekanik yasaları bütün eylemsiz referans sistemlerinde aynı olmalıdır.

Bir trenin içerisinde giden bir yolcu ve bu treni dışarıdan izleyen bir
gözlemci olduğunu düşünelim. Trenin içerisindeki yolcu elinde bir top taşıyor.
Bu topu yukarıya atıyor ve tekrar yakalıyor. Top dik bir şekilde yukarıya
çıkıp iniyor, en azından yolcunun gördüğü bu. Peki dışarıdaki gözlemci ne
görüyor?
Dışarıdaki gözlemcinin gördüğü şey de topun havaya çıktığı, fakat top bu
hareketini yaptığı sırada tren bir yol katediyor. Yani top trenin hareketinden
ötürü bu sefer yatayda da bir harekete sahip. Sadece dikey yönde bir hareket
yapmıyor. Dolayısıyla top, dışarıdaki gözlemcinin bakış açısından sanki
fırlatılan bir ok gibi kavisli bir yol izliyor. Fakat trenin içerisindeki
gözlemci topu sadece yukarı aşağı giderken görüyor. Bu durumda topun hareketi
konusunda bir fikir ayrılığı ortaya çıkıyor.
Bu durumda Newton yasaları, enerji ve momentumun korunumu gibi ilkelerin
geçerliliği olduğuna göre, bu iki eylemsiz referans sistemi arasındaki farkı
hiçbir mekanik deneyle açıklamak mümkün değilmiş gibi görünüyor. Bu olayda
gözlenebilecek tek şey, bir sistemin diğerine göre olan hareketidir. Bu durum
keyfi olarak alınan bir referans sistemi kavramının veya uzay içerisinde
herhangi bir şekilde mutlak hareket kavramının bir anlamı olmadığını ifade
eder.
Galileo Uzay-Zaman Dönüşüm Bağıntıları
Gerçekleşen olayda iki farklı gözlemci için iki farklı referans sistemi
oluşturalım. Bunlardan birisi S, diğeri S’ olsun. Yeri ve zamanı da dört
koordinat cinsinden (x,y,z,t) ve (x’,y’,z’,t’) olarak ifade edelim. Bu iki
referans sistemi arasında bir dönüşüm bağıntısı oluşturabiliriz. S’ sistemi S
sistemine göre ölçülmek üzere xx’ ekseni boyunca sabit v hızıyla hareket
etsin. t=0 anında iki referans sisteminin çakıştığını varsayalım(biri sabit
diğeri hareketli olduğundan S’ sistemi S sisteminden uzaklaşacak) Bu durumda
iki referans sistemi arasındaki dönüşüm aşağıdaki şekilde ifade edilir.

Galileo uzay-zaman dönüşüm bağıntıları
Burada dikkat edilmesi gereken en önemli nokta, zamanı her iki referans
sisteminde de aynı kabul etmiş olduğumuzdur. Bu, gündelik olaylarda çok çok
ufak farklardan ötürü doğru bir kabuldür. Fakat söz konusu hızlar ışık hızına
yaklaştığında durumlar değişmektedir.
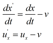
Bir parçacık S sistemindeki gözlemciye göre dt süresi boyunca dx kadar yol
alsın. Dönüşüm bağıntılarından elde ettiğimiz eşitliğe göre aşağıdaki ifade
elde edilir.

Galileo Hız Dönüşüm Eşitliği
Burada belirtilen ux ifadesi, S referans sisteminde hızın x eksenindeki
bileşenini ifade eder. Aynı şekilde üslü ifadesi olan da S’ referans
sistemindekini ifade eder. Burada v harfi yerine u kullanmamızın sebebi, iki
referans sisteminin bağıl hızını temsil etmek içindir.
Özet olarak, Galileo bağıntıları her ne kadar mantıklı görünseler de bu
gündelik hayattaki olayların gerçekleşme şeklinden ötürü mantıklı ve
geçerlidir. Söz konusu olaylar ışık hızına yakınlığı barındırınca işin boyutu
değişmektedir. Kafa kafaya yaklaşan iki arabada hızları toplarken, ışık hızına
çok yakın hızlarda bu geçerliliğini yitirmektedir. Örneğin, 60km/sa hızla size
doğru 80km/sa hızla gelen bir araca yaklaşma hızınız 60+80=140km/sa iken, 0,6c
hızla giderken size doğru 0,8c hızla gelen bir araca yaklaşma hızınız 1,4c
değildir. Asla ışık hızını geçmeyecektir. Sonuç olarak, bu bağıntıları
elektromanyetik dalgalara uygulamaya kalktığımızda ortaya problemler çıktığını
görürüz.
Ögetay Kayalı
Yazı dizimizin diğer bölümleri için:
1) Referans Sistemleri
2) Lorentz Dönüşümleri
3) Michelson – Morley Deneyi
4) Zaman Genişlemesi ve İkizler Paradoksu
5) Boy Kısalması
6) Kütlenin ve Momentumun Göreliliği