
Bir A gözlemcimiz var ve bir trenin üzerinde ilerliyor.
Bunu dışarıdan gözlemleyen bir B gözlemcimiz var. A gözlemcisi trende giderken
elindeki topu havaya atıp yakalıyor. A gözlemcisinin gördüğü şey, topun dik
bir şekilde havaya çıkıp yere inmesidir. Fakat sabit bir şekilde dışarıdan
bakan B gözlemcisi, A gözlemcisi trenle beraber ilerlediği için, topu da
ilerliyor olarak görür. Yani top bir kavis çizer. Bu durumda B gözlemcisinin
daha uzun bir yol ölçmesini bekleriz. Şimdi buradaki topun yerine ışığı
koyalım.

Trenin tavanında bir adet ayna bulunsun ve bu sefer A gözlemcisi elindeki
lazerle bu aynaya ışık atması göndersin. Gözlemcinin lazeri ile ayna
arasındaki mesafeyi d olarak kabul edelim.
Olay 1, A gözlemcisi tren içerisinde ilerlerken tepesinde bulunan aynaya
elindeki lazerden bir ışık atması gönderiyor. A gözlemcisinin gördüğü olay
ışık atmasının d kadar yolu gidip tekrar geri geldiğidir. Dolayısıyla A
gözlemcisi, ışığın aldığı yolu 2d olarak ölçer.
Olay 2, B gözlemcisi A gözlemcisinin yaptığı bu hareketi izlerken, trenin sağ
yönde hareketinden ötürü ışık atmasının da bu yönde bir hareketi olduğunu
görür. Işık atması tavana gidene kadar tren v hızıyla vt/2 kadar yol almıştır.
Bu sırada ışık atması ct/2 kadar yol alır. (Burada verilen olayın süresi
sadece ışık atmasının tepeye çıkmasını kapsadığından süreyi t/2 kadar verdik)

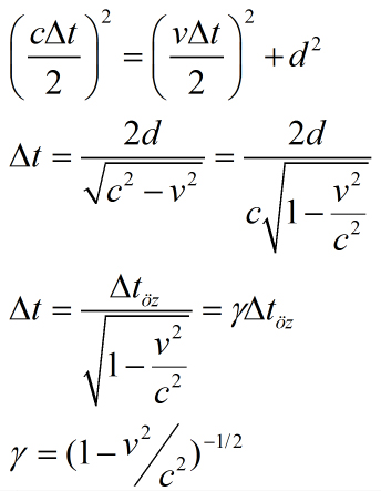
Olay 2’nin geometrik ifadesi
Özel Görelilik Kuramı der ki, her iki gözlemci de ışık hızını(c) aynı
ölçmelidir. Bu durumda B gözlemcisi ışığın daha fazla yol aldığını
gördüğünden, B’nin ölçtüğü t süresi daha uzun olmalıdır. (Klasik X=V.t
formülünde V sabitken X artıyor ise, eşitliğin sağlanabilmesi için t de
artmalıdır)
Buradan pisagor bağıntısını uyguladığımızda

elde ederiz. Buradan görüyoruz ki gama en düşük değer olarak 1 değerini
alabilir. Burada öz zaman olarak belirttiğimiz t(öz) ifadesi 2d/c ifadesinden
yani A gözlemcisinin ölçtüğü süreden gelir. Bu öz zamanın gama ile çarpımı
sonucunda elde edilen t değerinin, t(öz)’den büyük olacağı açıktır. Yani B
gözlemcisinin ölçtüğü zaman daha fazladır. (t>t(öz)) Yani aynı olayın
gerçekleşmesi, durgun kişi için daha uzun sürmüştür. Bir başka deyişle
hareketli kişi için daha kısa sürmüştür.
Sonuç olarak, hareketli sistemdeki bir saat durgun olan saate göre gama
çarpanı kadar yavaş çalışır. Bu sadece saatler için değil, tüm mekanik ve
biyonik her şey için geçerlidir. Yani hareketli olan tarafsanız, yaşlanmanız
durgun olana göre daha uzun sürecektir. Bu olaya zaman genişlemesi adını
veriyoruz.

Gama çarpanının hıza bağlı artış grafiği. Buradan görülüyor ki ışık hızının
10’da 1’i gibi hızlarda gama yaklaşık olarak 1’dir. Yani farklılık çok azdır.
Esas fark ışık hızına yakın hızlarda ortaya çıkar.
İkizler Paradoksu
Tüm bu olayların “görelilik” kavramı üzerinden yürüdüğüne bir kez daha dikkat
edin. Bu paradoksun oluşma sebebi de budur. Çünkü gerçekleşen tüm olaylar,
farklı referans sistemlerinin birbirlerine olan “bakışlarından” kaynaklanır.
Farz edelim ki Rüzgar ve Doğa adında ikiz kardeşlerimiz var, ikisi de 20 de
yaşında olsun. Bir gün Rüzgar, 20 ışık yılı ötedeki bir sistemde araştırma
yapmak üzere görevlendiriliyor. Işık hızının %90’ı bir hızla gidebilen bir
uzay gemisine binip bu sisteme gidiyor, orada kısa sürede araştırmasını yapıp
tekrar yola koyuluyor. Oradan topladığı verileri yolda incelemeye koyuluyor.
Rüzgar’ın tüm bu yolculuğu toplamda 19 yıl sürüyor.
Dünya’ya döndüğünde ikizini görmek için can atan Rüzgar, gördüğü tablo
karşısında şoka uğruyor. Kendisi 39 yaşına gelmişken ikizini 64 yaşında
görüyor! Doğa için gerçekleşen olay ışık hızının %90’ı bir hızla 20 ışık yılı
mesafenin 44 yılda kat edilmesidir. Dolayısıyla bu süreçte Doğa için zaman 44
yıl geçmiştir. Fakat ışık hızının %90’ı bir hızla giden Rüzgar için zaman,
gama çarpanı kadar yavaş akmıştır. Dolayısıyla onun için 44/2.3=19 yıl
geçmiştir. Buraya kadar her şey harika görünüyor gibi değil mi? Şaşırtıcı
olmasının yanında bir paradoks burada “görelilik” kavramının içerisinde
yatıyor.

Solda Rüzgar Dünya’dan ayrılırken, sağda Dünya’ya döndüğünde
Biz olayları Doğa’nın gözünden değerlendirdik. Ona göre Rüzgar ışık hızının
%90’ı bir hızla kendisinden uzaklaştı. Peki olaylara Rüzgar’ın gözünden
baksaydık nasıl olurdu. Bu durumda Rüzgar’ın göreceği şey, Dünya ve Doğa’nın
kendisinden ışık hızının %90’ı bir hızla uzaklaştığı olacaktı. Bu durumda
olaylar tam tersine dönmeli ve Rüzgar daha yaşlı olmalıydı. Bu durumda hangi
ikiz daha yaşlı olmalıdır?
Bu noktada Özel Görelilik Kuramı’nın neye dayandığını hatırlamamız gerekiyor.
Özel Görelilik, birbirlerine göre sabit hızlarda hareket eden eylemsiz
referans sistemleri ile ilgilenir. Bu olayda Rüzgar bulunduğu yerden ayrılarak
ivmeli bir hareket yapıyor. Önce araştırmasını yapacağı sisteme gidiyor, sonra
orada biraz durup ters yönde tekrar hızlanarak geri dönüyor. Yani Rüzgar’ın
hızı sabit olmadığından eylemsiz bir referans sistemi içerisinde değildir. Bu
sebeple Rüzgar’ın sabit olup Doğa’nın hareket ettiğini söylemek mantıklı
değildir. Hareket eden Rüzgar’dır, dolayısıyla zaman Doğa için değil Rüzgar
için yavaş akar.
Sonuç olarak, Dünya’dan ışık hızına yakın hızlarla ayrılan bir kişi için zaman
Dünya’dakine göre daha yavaş akar. Fakat iki kişi de zamanın akışında bir
farklılık hissetmez. Sadece zaman birbirlerine göre farklı akmıştır.
Ögetay Kayalı
Özel görelilik yazı dizimizin önceki bölümlerini okumak için:
1) Referans Sistemleri
2) Lorentz Dönüşümleri
3) Michelson – Morley Deneyi
4) Zaman Genişlemesi ve İkizler Paradoksu
5) Boy Kısalması
6) Kütlenin ve Momentumun Göreliliği